Metode/cara untuk menyelesaikan soal integral ada beberapa macam dan untuk yang sekarang akan saya jelaskan metode substitusi. Substitusi yaitu mengganti varible tertentu dengan terlebih dahulu mengubah variable yang lain dan cara ini melibatkan turunan.
Sebagai contoh selesaikanlah integral dibawah ini.
Kita lihat pada soal disini bahwa ada dua komponen yaitu x2 dan x3. Disini pangkatnya 2 dan 3. Pangkat yang berurutan seperti ini akan sangat mudah diselesaikan dengan metode substitusi. Kalau misalnya pangkat 1 dan 2, 3 dan 4, 4 dan 5, dan seterusnya maka bisa dipakai cara substitusi. Inilah syarat pertama untuk metode substitusi.
Syarat sudah terpenuhi kemudian lakukan langkah kedua, yaitu menurunkan variabel dengan pangkat tertinggi. Variabel dengan pangkat tertinggi adalah x3. Kita misalkan U = x3.
Dari cara diatas kita dapatkan nilai dari “dx”. Nilai dx inilah yang kita pakai untuk menyelesaikan soal diatas.
Mari kita lanjutkan lagi.
Sekarang kita mendapatkan integral dalam bentuk “U”. Hasil di atas kita integralkan lagi.
Nah, kita sudah hampir selesai dengan integral ini. Variable yang kita cari adalah dalam bentuk variable “x”, sedangkan hasil diatas masih dalam variable “U”. Kita tahu bahwa U=x3. Jadi tinggal kita ganti saja “U” tersebut.
Jadi :
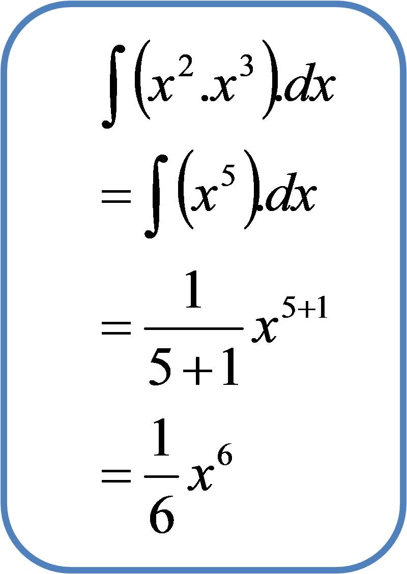
Ada juga cara lain dengan hasil yang sama. Bisa dilihat pada gambar di bawah ini ;
Ingat bahwa :
X2 .X3 = X2+3 = X5.
Nah, kita bisa memilih cara mana yang paling disukai..










EmoticonEmoticon